Diffusion model 公式推导 1
paperreading
本文字数:2.8k 字 | 阅读时长 ≈ 13 min

Diffusion model 公式推导 1

paperreading
本文字数:2.8k 字 | 阅读时长 ≈ 13 min

1. 前言

本文一共分为三大部分,这是第一部分

Diffusion model(一): 公式推导详解
Diffusion model(二): 训练推导详解
Diffusion model(三): 公式结论

首先附上几个大佬的讲解
lilianweng-diffusion-models
zhihu_由浅入深了解 Diffusion Model
b 站_diffusion model 原理讲解
b 站_基于 pytorch 动手实现 diffusion model
DDPM 论文_NIPS_2020

这篇博客借鉴了上述博客、视频以及 DDPM 论文,同时加上个人的理解整合了一下,尽可能让整个推导详细,希望能使每个人都看懂

结合之前讲过的 VAE 和 GAN 模型,Diffusion Model 和他们的区别就是 latent code 和原图是同尺寸大小的。如下图所示,给大家一个直观的认识:Diffusion Model 分为前向过程和反向过程,前向过程将输入图片$x_{0}$变为纯高斯噪声$x_{T}$(就是一个不断加噪的过程),反向过程就是将噪声$x_{T}$还原为图片$x_{0}$的过程(就是一个不断去噪的过程)

知道 Diffusion Model 在做什么之后,接下来对 Diffusion 的前向和反向过程做分析推导

2. Diffusion 的前向过程

1. 前向过程从$x_{t-1}$到$x_{t}$的公式

给定真实图片$x_{0} \sim q(x)$,前向过程中 diffusion model 对其添加了$T$次高斯噪声,分别得到图$x_{1},x_{2},x_{3},…,x_{T}$(随着$t$的增加,$x$包含越来越多的噪声),这个过程如下表示
$$
q(x_{t}|x_{t-1}) = \mathcal{N}(x_{t}; \sqrt{1-\beta_{t}}x_{t-1}, \beta_{t}I)
\tag{1}
$$

下图展示了前向加噪的过程中图片的变化,从左到右为$x_{0}, x_{1}, …, x_{T}$

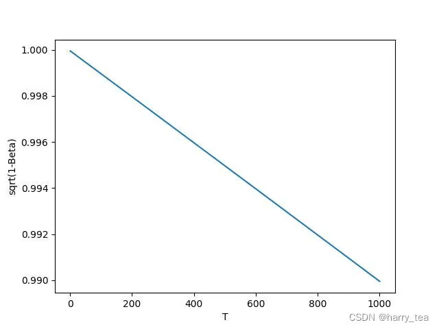
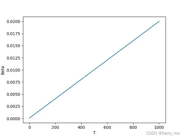
整个前向加噪过程是马尔科夫过程,即$t$时刻的状态只与$t-1$时刻有关,在不断加噪的过程中,$x_{t}$不断接近纯噪声,$T\rightarrow \infty$,$x_{t}$变为正态分布的高斯噪声(为什么下面会讲),在论文中$\beta_{t}$是从0.0001到0.02线性插值的,取$T=1000$,也就是说$\beta_{t}$是不断增加的,$1-\beta_{t}$是不断减小的

回过头来再看上述分布$\mathcal{N}(x_{t}; \sqrt{1-\beta_{t}}x_{t-1}, \beta_{t}I)$,随着$t$增加,$x_{t}$的均值是$x_{t-1}$的$\sqrt{1-\beta_{t}} <1$倍,因此最终$x_{t}$的均值不断变小,趋近于$0$,而标准正态分布的均值也为0

下面是$\beta_{t}$和$\sqrt{1-\beta_{t}}$随着$T$增加的变化曲线

2. 怎么从$x_{0}$直接得到$x_{t}$的表达式?

前向过程的$T$最多为1000次,如果每次都单独计算过于耗时,这里推导能够一步到位的方式

为了推导方便,原论文令$\alpha_{t} = 1-\beta_{t}$,$\overline{\alpha}{t} = \prod{i=1}^{T}\alpha_{i}$,并用重参数化的方法来表示前向过程每一步的数据分布(重参数化方法在文末有介绍),这里我们由$q(x_{t}|x_{t-1})$得
$$
\begin{aligned}
x_{t} &= \sqrt{1-\beta_{t}}x_{t-1} + \sqrt{\beta_{t}}z_{1}, ~~~~ where~z_{1},z_{2},…,\sim \mathcal{N}(0, I) \
&= \sqrt{\alpha_{t}}x_{t-1} + \sqrt{1-\alpha_{t}}z_{1} \
&= \sqrt{\alpha_{t}}(\sqrt{\alpha_{t-1}}x_{t-2} + \sqrt{1-\alpha_{t-1}}z_{2}) + \sqrt{1-\alpha_{t}}z_{1} \
&= \sqrt{\alpha_{t}\alpha_{t-1}}x_{t-2} + {\color{red}\sqrt{\alpha_{t}}\sqrt{1-\alpha_{t-1}}z_{2} + \sqrt{1-\alpha_{t}}z_{1}} \
&= \sqrt{\alpha_{t}\alpha_{t-1}}x_{t-2} + {\color{red}\sqrt{1-\alpha_{t}\alpha_{t-1}}\overline{z}{2}}, ~~~~ \overline{z}{2}\sim \mathcal{N}(0, I) \
&= … \
&= \sqrt{\alpha_{t}\alpha_{t-1}…\alpha_{1}}x_{0} + \sqrt{1-\alpha_{t}\alpha_{t-1}…\alpha_{0}}\overline{z}{t} \
&= \sqrt{\overline{\alpha}
{t}}x_{0} + \sqrt{1-\overline{\alpha}{t}}\overline{z}{t}
\end{aligned}
\tag{2}
$$

公式解释部分,上述公式懂的话可以不看
其中公式的红色部分用到了高斯分布的独立可加性,即$\mathcal{N}(0, \sigma^{2}{1}I) + \mathcal{N}(0, \sigma^{2}{2}I) \sim \mathcal{N}(0, (\sigma{2}_{1}+\sigma{2}{2})I)$

$$
\begin{aligned}
& \sqrt{\alpha
{t}(1-\alpha_{t-1})}z_{2} \sim \mathcal{N}(0, \alpha_{t}(1-\alpha_{t-1})I) \
& \sqrt{1-\alpha_{t}}z_{1} \sim \mathcal{N}(0, (1-\alpha_{t-1})I)
\end{aligned}
$$
可得
$$
\sqrt{\alpha_{t}(1-\alpha_{t-1})}z_{2} + \sqrt{1-\alpha_{t}}z_{1} \sim \mathcal{N}(0, (1-\alpha_{t}\alpha_{t-1})I) \rightarrow \sqrt{1-\alpha_{t}\alpha_{t-1}}\overline{z}_{2}
$$

$x_{t}$的最终结果为$x_{t}=\sqrt{\overline{\alpha}{t}}x{0} + \sqrt{1-\overline{\alpha}{t}}\overline{z}{t}$,其中$\overline{\alpha}{t} = \prod{i=1}^{T}\alpha_{i}$在$T$次连乘之后接近于$0$,即$x_{t} = 0\times x_{0} + \sqrt{1-0}\overline{z}{t} = \overline{z}{t}$,即$\mathcal{N}(0, I)$的正态分布,这就是整个前向推导了

3. 关于$x_{t-1}$到$x_{t}$的一个疑问

为什么$x_{t}$的分布是$q(x_{t}|x_{t-1}) = \mathcal{N}(x_{t}; \sqrt{1-\beta_{t}}x_{t-1}, \beta_{t}I)$呢?因为这个公式是作者直接给出的,并没有一个推导,公式表明在加噪的过程中均值要乘上$\sqrt{1-\beta_{t}}$,如果要保证均值最后为0的话,只需要每次乘的值小于1就可以了(虽然方差可能并不是$I$),通过上述推导我们可以发现$x_{t}$的最终等于$\sqrt{\overline{\alpha}{t}}x{0} + \sqrt{1-\overline{\alpha}{t}}\overline{z}{t}$,即$T \rightarrow \infty, x_{t} \sim \mathcal{N}(0, I)$,也就是说$\mathcal{N}(x_{t}; \sqrt{1-\beta_{t}}x_{t-1}, \beta_{t}I)$这个分布能够保证$x_{t}$最终收敛为标准高斯分布,但是具体前向分布这个式子怎么得到的,我不是很懂

3. Diffusion的反向过程

1. 反向过程的理想目标:已知$x_{t}$,预测$x_{t-1}$

在前向加噪过程中,表达式为$q(x_{t}|x_{t-1}) = \mathcal{N}(x_{t}; \sqrt{1-\beta_{t}}x_{t-1}, \beta_{t}I)$,反向过程就是将上述过程进行逆转,得到$q(x_{t-1}|x_{t})$的分布,通过不断的去噪从$x_{T} \sim \mathcal{N}(0, I)$中还原出原图$x_{0}$,文中证明了如果$q(x_{t}|x_{t-1})$满足高斯分布并且$\beta_{t}$足够小,$q(x_{t-1}|x_{t})$仍然是一个高斯分布。但是我们无法简单推断$q(x_{t-1}|x_{t})$,因此我们使用深度学习模型(参数为$\theta$,结构一般为U-net+attention结构)来预测他的真实分布
$$
p_{\theta}({x_{t-1}|x_{t}}) = \mathcal{N}(x_{t-1}; \mu_{\theta}(x_{t}, t), \Sigma_{\theta}(x_{t}, t))
\tag{3}
$$

$(3)$式是我们要通过神经网络预测diffusion model反向过程的式子:已知$x_{t}$以及加噪次数$t$的情况下,推导$x_{t-1}$,这个过程十分复杂,因为我们有无数的去噪可能性,即使最终得到了$x_{0}$,也无法确定$x_{0}$是否真的属于$q(x)$这个分布中的数据,因此需要对去噪过程加以限制,即让其去噪后的图片收敛到$q(x)$分布中

2. 额外已知$x_{0}$的情况下的反向过程

对于反向过程的分布$q(x_{t-1}|x_{t})$我们无法预测,但是从前向过程中我们知道$x_{0}$,所以通过贝叶斯公式得到$q(x_{t-1}|x_{t}, x_{0})$为
$$
q(x_{t-1}|x_{t}, x_{0}) = \mathcal(x_{t-1}; \tilde{\mu}(x_{t}, x_{0}), \tilde{\beta}_{t}I)
\tag{4}
$$

推导过程如下,首先利用贝叶斯公式将反向过程均变为前向过程$x_{t-1} \rightarrow x_{t}$,$x_{0}\rightarrow x_{t-1}$以及$x_{0}\rightarrow x_{t}$
$$
q(x_{t-1}|x_{t}, x_{0}) = q(x_{t}|x_{t-1}, x_{0}) \frac{q(x_{t-1}|x_{0})}{q(x_{t}|x_{0})}
\tag{5}
$$

根据高斯分布的概率密度函数的指数部分$(\mu, \sigma^{2}) \propto \exp(-\frac{(x-\mu)2}{2\sigma{2}})$以及前向推导公式$x_{t} = \sqrt{\alpha_{t}}x_{t-1} + \sqrt{1-\alpha_{t}}z_{1}$和$x_{t} = \sqrt{\overline{\alpha}{t}}x{0} + \sqrt{1-\overline{\alpha}{t}}\overline{z}{t}$得
$$
\begin{aligned}
q(x_{t-1}|x_{t}, x_{0}) &= q(x_{t}|x_{t-1}, x_{0}) q(x_{t-1}|x_{0}) \frac{1}{q(x_{t}|x_{0})} \
&= [\sqrt{\alpha_{t}}x_{t-1} + \sqrt{1-\alpha_{t}}z_{1}] \times [\sqrt{\overline{\alpha}{t-1}}x{0} + \sqrt{1-\overline{\alpha}{t-1}}\overline{z}{t-1}] \times [\frac{1}{\sqrt{\overline{\alpha}{t}}x{0} + \sqrt{1-\overline{\alpha}{t}}\overline{z}{t}}] \
&\propto \exp(-\frac{1}{2}(\frac{(x_{t} - \sqrt{\alpha_{t}}x_{t-1})^2}{\beta_{t}} + \frac{(x_{t-1}-\sqrt{\overline{\alpha}{t-1}}x{0})^{2}}{1-\overline{\alpha}{t-1}} - \frac{(x{t}-\sqrt{\overline{\alpha}{t}}x{0})^{2}}{1-\overline{\alpha}{t}})) \
&= \exp(-\frac{1}{2}(( \underbrace{\frac{\alpha
{t}}{\beta_{t}}+\frac{1}{1-\overline{\alpha}{t-1}})x^{2}{t-1}} - \underbrace{(\frac{2\sqrt{\alpha_{t}}}{\beta_{t}}x_{t} + \frac{2\sqrt{\overline{\alpha}{t-1}}}{1-\overline{\alpha}{t-1}}x_{0})x_{t-1}} + \underbrace{C(x_{t}, x_{0}})))
\end{aligned}
\tag{6}
$$

根据$\exp(-\frac{(x-\mu){2}}{2\sigma{2}}) = \exp(-\frac{1}{2}(\frac{1}{\sigma{2}}x{2}-\frac{2\mu}{\sigma^{2}}x + \frac{\mu{2}}{\sigma{2}}))$,对于大括号中的部分进行化简能够得到$q(x_{t-1}|x_{t}, x_{0})$的均值和方差,如下
$$
\left{
\begin{array}{ll}
\frac{1}{\sigma^{2}} = \frac{1}{\tilde{\beta}{t}} = (\frac{\alpha{t}}{\beta_{t}} + \frac{1}{1-\overline{\alpha}{t-1}}) \
~~ \
\frac{2\mu}{\sigma^{2}} = \frac{2\tilde{\mu}
{t}(x_{t}, x_{0})}{\tilde{\beta}{t}} = (\frac{2\sqrt{\alpha{t}}}{\beta_{t}}x_{t} + \frac{2\sqrt{\overline{\alpha}{t-1}}}{1-\overline{\alpha}{t-1}}x_{0})
\end{array}
\right.
\tag{7}
$$

化简得
$$
\left{
\begin{array}{ll}
\tilde{\beta}{t} = \frac{1-\overline{\alpha}{t-1}}{1-\overline{\alpha}{t}} \cdot \beta{t} \
~~ \
\tilde{\mu}{t}(x{t}, x_{0}) = \frac{\sqrt{\alpha_{t}}(1-\overline{\alpha}{t-1})}{1-\overline{\alpha}{t}}x_{t} + \frac{\sqrt{\overline{\alpha}{t-1}}\beta{t}}{1-\overline{\alpha}{t}}x{0}
\end{array}
\right.
\tag{8}
$$
由$x_{t} = \sqrt{\overline{\alpha}{t}}x{0} + \sqrt{1-\overline{\alpha}{t}}\overline{z}{t}$,得$x_{0} = \frac{1}{\sqrt{\overline{\alpha}{t}}}(x{t}-\sqrt{1-\overline{\alpha}{t}}\overline{z{t}})$并替换上面均值中的$x_{0}$得到
$$
\tilde{\mu}{t} = \frac{1}{\sqrt{\alpha{t}}}(x_{t} - \frac{\beta_{t}}{\sqrt{1-\overline{\alpha}{t}}}\overline{z}{t})
\tag{9}
$$

这样我们证明最初已知$x_{0}$后的反向表达式了,即
$$
\begin{aligned}
& q(x_{t-1}|x_{t}, x_{0}) = \mathcal(x_{t-1}; \tilde{\mu}(x_{t}, x_{0}), \tilde{\beta}{t}I) \
& where \sim \tilde{\mu}
{t} = \frac{1}{\sqrt{\alpha_{t}}}(x_{t} - \frac{\beta_{t}}{\sqrt{1-\overline{\alpha}{t}}}\overline{z}{t}) \
&\quad \quad \ \ \ \sim \tilde{\beta}{t} = \frac{1-\overline{\alpha}{t-1}}{1-\overline{\alpha}{t}} \cdot \beta{t}
\end{aligned}
\tag{10}
$$

观察发现$\alpha_{t}$,$\beta_{t}$,$\overline{\alpha}{t}$,$\overline{\alpha}{t-1}$都是已知的,要想由$x_{t}$得到$x_{t-1}$未知的只有$\overline{z}{t}$,这也是为什么在反向过程中我们要通过神经网络来预测噪声的原因,预测成功之后我们就可以得到$q(x{t-1}|x_{t}, x_{0})$的分布了,然后利用重参数技巧来得到$x_{t-1}$

3. 回到第一步的理想目标

通过上述推导发现要得到$x_{t-1}$,反向过程的目的就是预测前向过程每一次t加入的噪声,因此这里的高斯分布$\overline{z}{t}$是深度学习模型所预测的噪声(即重参数化时从标准高斯分布中采样的噪声),可以看做$z{\theta}(x_{t}, t)$,由此得到均值为
$$
\mu_{\theta}(x_{t}, t) = \frac{1}{\sqrt{\alpha_{t}}}(x_{t} - \frac{\beta_{t}}{\sqrt{1-\overline{\alpha}{t}}}z{\theta}(x_{t}, t))
\tag{11}
$$

网络的最终目的就是预测$z_{\theta}(x_{t}, t)$,或者说是均值$\mu_{\theta}(x_{t}, t)$,至于方差$\Sigma_{\theta}(x_{t}, t)$从推导来看他是一个固定值,论文中也提到当做固定值效果更好

Sep 09, 2024
Sep 06, 2024